This website requires JavaScript.
Explore
Help
Sign In
eth-janishutz
/
eth-summaries
Watch
1
Star
0
Fork
0
You've already forked eth-summaries
mirror of
https://github.com/janishutz/eth-summaries.git
synced
2026-03-15 11:20:03 +01:00
Code
Issues
Packages
Projects
Releases
Wiki
Activity
Files
a3686f964c7da7469e7e724f596c29d5bf306476
eth-summaries
/
semester2
/
analysis-i
/
cheat-sheet-jh
/
assets
/
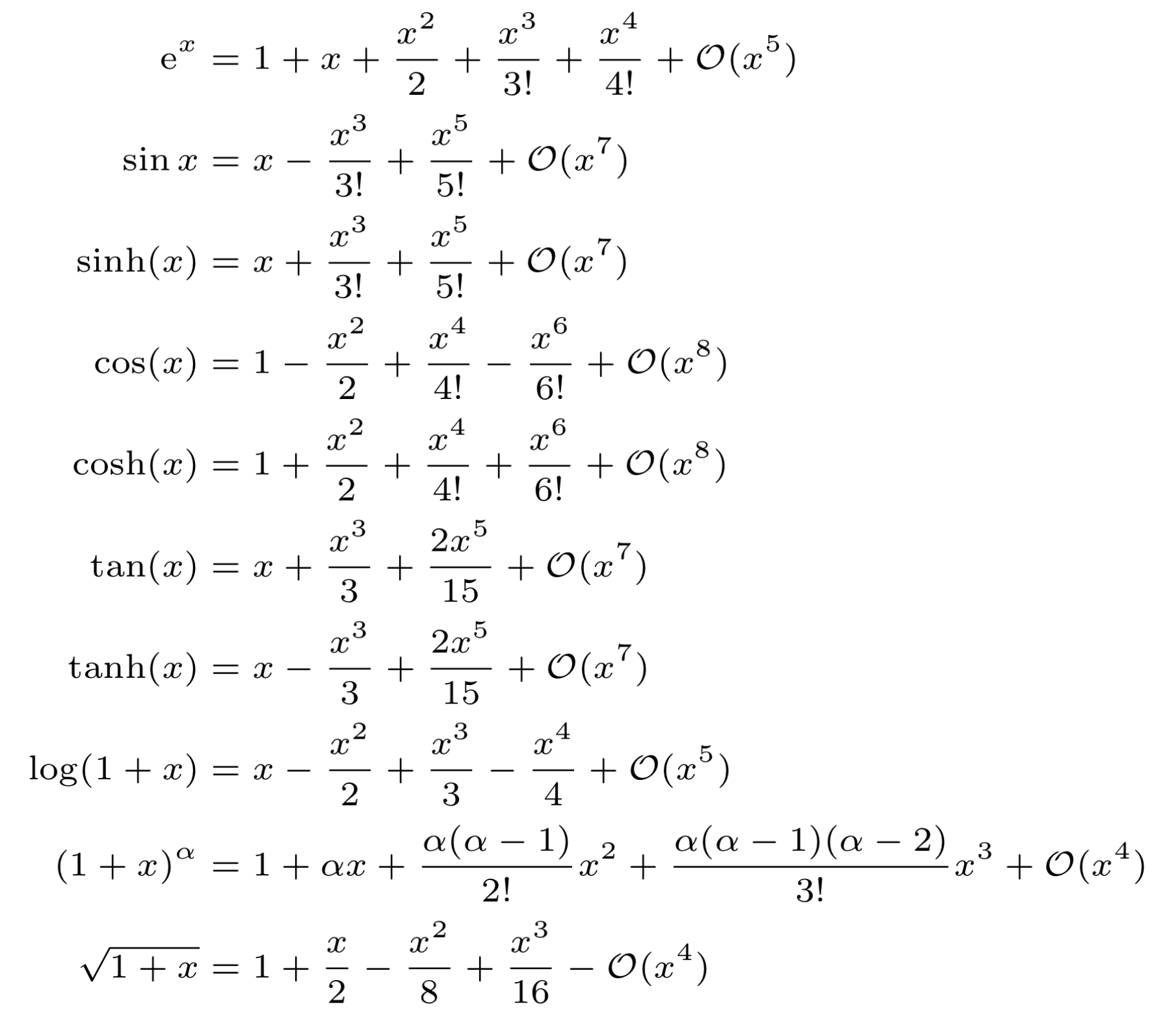
taylor-polynomials.png
RobinB27
07bfaf0391
[Analysis] Cleaner structure
2025-12-29 12:14:51 +01:00
310 KiB
1821x1603px
Raw
History
Reference in New Issue
View Git Blame
Copy Permalink